数学是很难的科学,但因为它是科学家用数学来解释宇宙的语言,我们无可避免的要学习它。看看下面的这些GIF动图,它们提供了视觉的方式来帮助你理解各种数学技巧。
1、椭圆的画法

2、杨辉三角问题(Pascal triangles)解法

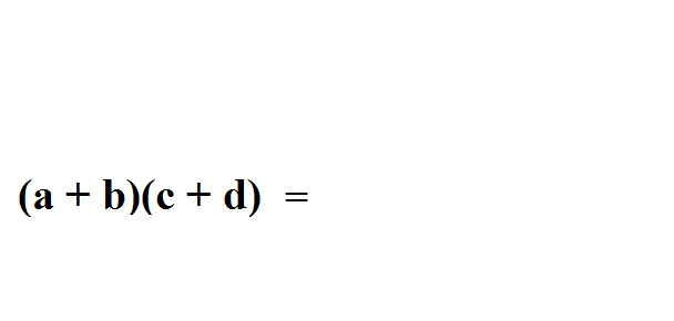
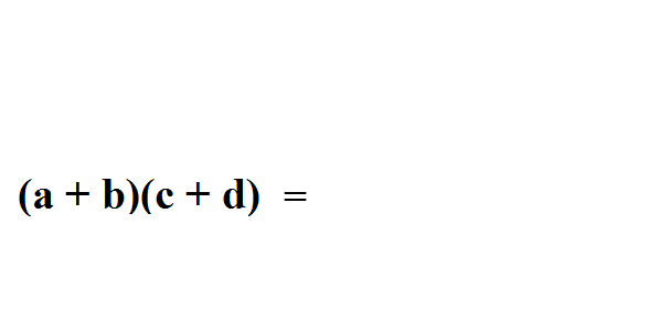
3、使用“FOIL”轻松的解决二项式乘法

4、对数解法技巧

5、矩阵转置的技巧

6、勾股定理

7、多边形的外角之和总是等于 360 度

8、圆周率π

9、一弧度就是长度刚好等于半径的一段圆弧所对的圆心角

10、在Y轴上使用正弦(红色),在X轴上使用余弦(蓝色),则在 XY 轴平面上画出的环形如下图(黑色)

11、同前一原理,但更简单

12、这是将 sin 和 cos 运用到三角形上

13、余弦是正弦的衍生物

14、正切线

15、同上,但翻个面看,更容易理解

16、将一个公式从笛卡尔坐标转换成轴坐标

17、画抛物线

18、黎曼和(Riemann sum)约等于其曲线下的面积

19、双曲线

20、将双曲线表现成 3D 形式,也许你不相信,它完全是用直线画成的

